Zur Hauptnavigation springen [Alt]+[0] Zum Seiteninhalt springen [Alt]+[1]

Wärmekapazität Schülerversuch Arbeitsblatt

Hinweis

Es wird darauf hingewiesen, dass für jedes Experiment entsprechend der eigenen Durchführung vor der erstmaligen Aufnahme der Tätigkeit eine Gefährdungsbeurteilung durchgeführt und dokumentiert werden muss. Jede fachkundige Nutzerin/jeder fachkundige Nutzer muss die aufgeführten Inhalte eigenverantwortlich prüfen und an die tatsächlichen Gegebenheiten anpassen.

Weder die Redaktion des Lehrerfortbildungsservers noch die Autorinnen und Autoren der veröffentlichten Experimente übernehmen jegliche Haftung für direkte oder indirekte Schäden, die durch exakten, veränderten oder fehlerhaften Nachbau und/oder Durchführung der Experimente entstehen. Weiterführende Informationen erhalten Sie unter www.gefahrstoffe-schule-bw.de


Arbeitsauftrag 1: Bestimme die spezifische Wärmekapazität
von ............................................................................................

Folgendes ist zu tun:

Schritt 1: 
Besorge Dir zwei Kunststoffgefäße, einen Messbecher, 2 Löffel und 1 Thermometer.

Schritt 2:
Fülle 200 ml kaltes Wasser in das Gefäß ein.

Schritt 3:
Wiege die zu messende Probe.

Schritt 4:
Gebe in das andere Gefäß die Probe und fülle es mit heißem Wasser auf, damit sich die Probe auf ca.
70 – 90 °C erwärmt. Warte dazu einige Zeit ab damit auch alles vollständig durchgewärmt ist.
(ca. 1 – 3 Minuten; umrühren nicht vergessen).

Schritt 5:
Messe die Temperatur in den beiden Gefäßen. Bringe danach zügig die Probe in das Gefäß mit dem kalten Wasser und messe so lange die ansteigende Temperatur, bis diese sich nicht mehr ändert. Rühre dabei um. Notiere die sich nun einstellende Mischungstemperatur (Jm).

Schritt 6:
Berechne die spezifische Wärmekapazität.

(-> siehe dazu Auswerteblatt)

Welche möglichen Fehlerquellen könnten das Versuchsergebnis beeinflussen?

Wärmekapazität

Arbeitsauftrag 2: Mischungsversuch mit kaltem und heißem Wasser
Fülle 200 ml kaltes Wasser in das Kunststoffgefäß und 200 ml heißes Wasser in einen Messbecher. Bestimme die Temperaturen. Fülle nun das heiße Wasser in das Kunststoffgefäß und ermittle die sich einstellende Mischungstemperatur (umrühren).

Notiere die Mischungstemperatur in der Tabelle auf dem Auswerteblatt.

Tabelle

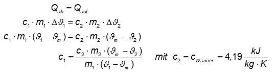
Berechnung der spezifischen Wärmekapazität:

abgegebene      aufgenommene
Wärmemenge = Wärmemenge

Forme

Ergebnis:

 


14_schuelerversuch_waermekapazitaet_ab.pdf   herunterladen  [pdf][83 KB]
14_schuelerversuch_waermekapazitaet_ab.ppt   herunterladen  [ppt][232 KB]