Zur Hauptnavigation springen [Alt]+[0] Zum Seiteninhalt springen [Alt]+[1]

Stromteilung Arbeitsblatt


Wiederhole zunächst die Knotenregel sowie die Regel zur Stromteilung.

Knotenregel
Die Summe der zum Knoten hinfließenden Ströme ist gleich

_________________________________________________________________________

Stromteilung
Der Strom nimmt den Weg des ___________________ Widerstandes.
Ist der Widerstand in einem Zweig groß, so fließt hier _____________ Strom.
Ist der Widerstand in einem Zweig klein, so fließt hier _____________ Strom.

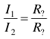
Ergänze die Formel:

Formel

Aufgabe:

  1. Berechne die fehlenden Stromstärken!
    (Um den Stromkreis übersichtlicher zu gestalten, wurden nur die Strommessgeräte eingezeichnet.)
    Stromkreis
  2. Berechne die fehlenden Stromstärken und Widerstände!
    Stromkreis

 


gesetze_des_stromkreises_stromteilung_ab: Herunterladen [doc][37 KB]
gesetze_des_stromkreises_stromteilung_ab: Herunterladen [pdf][81 KB]

 

Weiter zu Stromteilung Arbeitsblatt Lösung