Zur Hauptnavigation springen [Alt]+[0] Zum Seiteninhalt springen [Alt]+[1]

Stromteilung Arbeitsblatt Lösung


Wiederhole zunächst die Knotenregel sowie die Regel zur Stromteilung.

Knotenregel
Die Summe der zum Knoten hinfließenden Ströme ist gleich der Summe der vom Knoten wegfließenden Ströme.

Stromteilung
Der Strom nimmt den Weg des geringsten Widerstandes.
Ist der Widerstand in einem Zweig groß, so fließt hier wenig Strom.
Ist der Widerstand in einem Zweig klein, so fließt hier viel Strom.

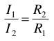
Ergänze die Formel:

Formel

Aufgabe:

  1. Berechne die fehlenden Stromstärken!
    (Um den Stromkreis übersichtlicher zu gestalten, wurden nur die Strommessgeräte eingezeichnet.)
    Stromkreis
  2. Berechne die fehlenden Stromstärken und Widerstände!
    Stromkreis

 


gesetze_des_stromkreises_stromteilung_loe: Herunterladen [doc][39 KB]
gesetze_des_stromkreises_stromteilung_loe: Herunterladen [pdf][135 KB]

 

Weiter zu Stromkreis Puzzle didaktische Hinweise