Zur Hauptnavigation springen [Alt]+[0] Zum Seiteninhalt springen [Alt]+[1]

Nachweis der Aldehyd-Gruppe mit Königsblau-Reagenz (SV)

Bildungsplanbezug

Inhaltsbezogene Kompetenzen

3.4.4 Naturstoffe

(4) den Ringschluss bei Monosacchariden als Halbacetalbildung erläutern (nucleophiler Angriff) und den Zusammenhang zwischen Fischer-Projektionsformeln und Haworth-Projektionsformeln darstellen (D-Glucose, […])

Prozessbezogene Kompetenzen

2.1 Erkenntnisgewinnung

(10) Modelle und Simulationen nutzen, um sich naturwissenschaftliche Sachverhalte zu erschließen

2.2 Kommunikation

(4) chemische Sachverhalte unter Verwendung der Fachsprache […] beschreiben […] oder erklären

Materialien

  • Tüpfelplatte
  • Pipetten
  • 2 Objektgläser

Chemikalien

  • Glucose-Lösung
  • Propanal
  • Königsblau-Reagenz

Durchführung

  1. Tropfen Sie in eine Mulde der Tüpfelplatte 2-3 Tropfen der Glucose-Lösung, in eine zweite 2-3 Tropfen Propanal.
  2. Fügen Sie beiden Vertiefungen jeweils 2-3 Tropfen des Königsblau-Reagenz zu und decken beide Mulden mit einem Objektglas ab.

Hinweise für die Lehrkraft

Für den sinnvollen Einsatz dieser Vorgehensweise ist es zwingend notwendig die Einheit „chemische Gleichgewichte“ VOR der Einheit „Naturstoffe“ zu behandeln!

Achtung:

Befinden sich die Glucose-Lösung und das Propanal direkt nebeneinander auf der Tüpfelplatte, können Propanal-Dämpfe das Ergebnis der Glucose-Lösung verfälschen. Daher sollten die Mulden abgedeckt werden oder man verwendet für die beiden Nachweisreaktionen auch zwei Tüpfelplatten, die man in einem größeren Abstand zueinander stellt.

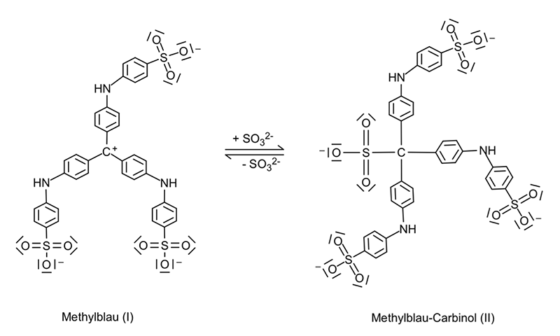
Das Königsblau-Reagenz ist zu Beginn olivgrün (Abb. 1, II). Bei Anwesenheit einer Aldehydgruppe färbt sich die Lösung tiefblau (Abb. 1, I). Die Glucose-Lösung bleibt olivgrün, wohingegen sich das Propanal blau verfärbt. Hierbei handelt es sich um eine Alternative zur Schiff´schen Probe, wodurch die Problematik mit dem Para-Fuchsin umgangen werden kann.

Herstellung des Königsblau-Reagenz:

  • In ein Becherglas (100 mL) werden 1,39 g Natriumdihydrogenphosphat (NaH2PO4 • 1H2O) und 5,32 g Dikaliumhydrogenphosphat (K2HPO4) eingewogen. (Alternativ kann der der pH-Wert von 7,4 auch mittels fertigen Pufferlösungen eingestellt werden.)
  • Dem Gemisch fügt man 10 mL blaue Tinte (Pelikan 4001, Methylblau) zu und rührt, bis sich die Feststoffe vollständig gelöst haben.
  • Nun pipettiert man 2,6 mL Natriumsulfit-Lösung (c = 0,1 mol/L) zu und rührt für weitere 20 Minuten bevor man die Lösung mit dest. Wasser auf 25 mL verdünnt.
  • Nun ist die Lösung olivgrün (und ist ca. 1 Monat haltbar).

Erklärung:

Sulfit-Ionen können reversibel an das Methylblau addieren. Dabei bildet sich Methylblau-Carbinol. Im leicht alkalischen Bereich (pH = 7,4) liegt das Gleichgewicht stark auf der rechten Seite, sodass die Lösung olivgrün erscheint.

Chemische Gleichgewicht zwischen Methylblau und Methylblau-Carbinol

Abb. 1 Gleichgewicht zwischen Methylblau und Methylblau-Carbinol

Aldehyde können, wie das Methylblau, Sulfit-Ionen addieren. Hierdurch wird aus dem olivgrünen Methylblau-Carbinol (II) durch Abspaltung des Sulfits das blaue Methylblau (I). Die nucleophile Addition der Aldehyde-Gruppe ist in Abbildung 2 dargestellt.

Chemische Reaktionsgleichung, Nucleophile Addition zwischen einem Aldehyd und dem Sulfit-Ion

Abb. 2: Nucleophile Addition zwischen einem Aldehyd und dem Sulfit-Ion

Quelle: Bertscche, I.; Chemkon (2017, 24, Nr. 2, 73-76).

Nachweis der Aldehyd-Gruppe mit Königsblau-Reagenz (SV): Herunterladen [docx][180 KB]

Nachweis der Aldehyd-Gruppe mit Königsblau-Reagenz (SV): Herunterladen [pdf][303 KB]