Zur Hauptnavigation springen [Alt]+[0] Zum Seiteninhalt springen [Alt]+[1]

Zahlenrätsel

 

Sprechblasen

Löse die folgenden Aufgaben in deinem Heft.

Aufgabe 1:         
a) Als Ergebnis bekommt Peter 143 heraus. Stelle die Gleichung zu seinem Zahlenrätsel auf und rechne die Lösung aus.

b) Als Ergebnis bekommt Anna   Bruch heraus.
Stelle die Gleichung zu ihrem Zahlenrätsel auf und rechne die Lösung aus.

c) Warum sind die Gleichungen aus a) und b) äquivalent?

d) Stelle die Gleichung zu Abdulbakis Zahlenrätsel auf und rechne die Lösung aus. Wie lautet die Zahl, die hier bei beiden Rätseln heraus kommt?

e) Denke dir selbst jeweils ein Rätsel wie das von Peter und Anna aus.
Sind diese Rätsel äquivalent?
Formuliere außerdem ein Rätsel wie das von Abdulbaki und berechne die Lösung.

Aufgabe 2:          
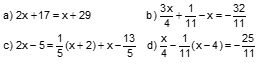
Finde heraus, welche der folgenden Gleichungen äquivalent zu der Gleichung aus Peters Zahlenrätsel sind.

Aufgabe 2

Zahlenrätsel - Lösung

Aufgabe 1:

Lösung

 

 

 

Zahlenrätsel Aequivalenz linearer Gleichungen:    Herunterladen  [doc][49 KB]
Zahlenrätsel Aequivalenz linearer Gleichungen:    Herunterladen  [pdf][72 KB]