Zur Hauptnavigation springen [Alt]+[0] Zum Seiteninhalt springen [Alt]+[1]

Marfan Hilfen

Infobox

Diese Seite ist Teil einer Materialiensammlung zum Bildungsplan 2004: Grundlagen der Kompetenzorientierung. Bitte beachten Sie, dass der Bildungsplan fortgeschrieben wurde.

Familie Reichle

Mit 16 Jahren kam Michael zum ersten Mal zur genetischen Beratung. Sein Vater Reinhard und andere Verwandte waren schon öfters bei der genetischen Beratungsstelle. Angefangen hatte es mit Augen- und Herzbeschwerden. Sein Onkel väterlicherseits und dessen Mutter, die Großmutter, waren sogar daran gestorben. Sein Großvater war gesund. Auf Seiten Michaels Mutter sind keine Vorerkrankungen bekannt. Die Genetiker bestätigten damals bei Reinhard die Diagnose Marfan-Syndrom. Ihm wurde erklärt, dass das Risiko, ebenfalls am Marfan-Syndrom erkrankte Kinder zu bekommen, hoch sei. Daraufhin wurde Michael klinisch nochmals untersucht.

Erstelle einen Stammbaum für Michaels Familie.

Mit welcher Wahrscheinlichkeit hat Michael später einmal selbst kranke Kinder? Begründe deine Antwort, mit einem erweiterten Stammbaum.

 

Hilfe 1

Erklärt euch gegenseitig die Aufgabe noch einmal in euren eigenen Worten. Lest dazu den Text nochmals aufmerksam durch und kennzeichnet dabei die für die Aufgabenstellung relevanten Informationen.

 

Hilfe 2

Mache dich mit der Symbolsprache der Stammbäume vertraut.

Folgende Vereinbarung bei der Darstellung von Stammbäumen wurden festgelegt: Personen einer Generation sind in einer Zeile dargestellt (I), die Folgegeneration ist ebenfalls in einer Ebene darunter dargestellt (II) usw.

 

Symbole

 

Beachte die besondere Symbolschreibweise bei gonosomalen Erbgängen (X A , X a , Y).

Hilfe 3

Welchem Erbgang folgt das Marfan-Syndrom?

autosomal-dominant

Hilfe 4

Mache dir klar welche Genotypen bei phänotypisch kranken bzw. phänotypisch gesunden Individuen im autosomal-dominanten Erbgang möglich sind.

krank: AA oder Aa

gesund: aa

Hilfe 5

Wiederhole noch einmal, woran Stammbäume eines autosomal-dominanten Erbgangs, zu erkennen sind.

  • die Krankheit tritt in jeder Generation auf
  • in beiden Geschlechtern tritt die Krankheit ungefähr gleich häufig auf
  • sind beide Eltern gesund, gibt es keine kranken Kinder
  • haben kranke Eltern auch gesunde Kinder

Hilfe 6

Erstelle einen Stammbaum der Familie, der die Phänotypen der einzelnen Familienmitglieder darstellt.

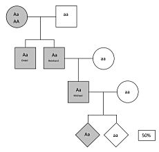
Stammbaum

Hilfe 7

Notiere die möglichen Genotypen der Individuen.

Alle phänotypisch kranken Individuen sind heterozygot, bis auf die Großmutter, sie könnte auch homozygot sein.

 

Stammbaum

 

 

Marfan Hilfen: Herunterladen [doc] [50 KB]

Marfan Hilfen: Herunterladen [docx] [24 KB]

Marfan Hilfen: Herunterladen [pdf] [121 KB]

 

 

Weiter zu PND