Beweispuzzle
Beweispuzzle:
ist keine rationale Zahl
Annahme: |
S |
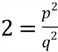
Also gilt: |
D |
wobei |
I |
Nach Quadrieren der Gleichung gilt: |
K |
Nach Multiplizieren mit 2 gilt: |
T |
Also ist |
C |
und damit auch |
E |
Somit kann man schreiben: |
F |
Einsetzen ergibt: |
R |
Durch 2 dividieren ergibt: |
E |
Also ist |
P |
und damit auch |
E |
Widerspruch: p und q gerade, |
R |
also |
A |
Also Annahme falsch, Gegenteil richtig: |
E |
|
W |
Artikel: Herunterladen [pdf][1 MB]
Weiter zu Lückentext
ist eine rationale Zahl.
,
vollständig gekürzt ist. 

gerade
gerade. 


gerade
gerade.