Lösungen
Lösungsmöglichkeit
Wertetabelle Aufgabe 3
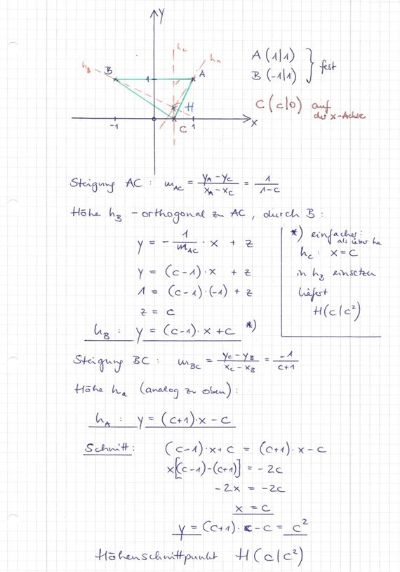
Punkte: A(1|1), B(-1|1)
Koordinaten des Höhenschnittpunktes:
x |
-2 |
-1 |
-0,5 |
0 |
0,5 |
1 |
2 |
3 |
x |
y |
4 |
1 |
0,25 |
0 |
0,25 |
1 |
4 |
9 |
x2 |
Mögliche Wertetabellen für Aufgabe 4
Punkte: A( 2 |1), B( -2 |1)
Koordinaten des Höhenschnittpunktes:
x |
-2 |
-1 |
-0,5 |
0 |
0,5 |
1 |
2 |
3 |
x |
y |
1 |
-2 |
-2,75 |
-3 |
-2,75 |
-2 |
1 |
6 |
x2 - 3 |
Veränderung zu Aufgabe 3:
z.B. um 3 Einheiten nach unten verschoben, von jedem Wert wird 3 subtrahiert, etc.
___________________________________________________________________________
Punkte: A( 3 |1), B( -3 |1)
Koordinaten des Höhenschnittpunktes:
x |
-2 |
-1 |
-0,5 |
0 |
0,5 |
1 |
2 |
3 |
x |
y |
-4 |
-7 |
-7,75 |
-8 |
-7,75 |
-7 |
-4 |
1 |
x2 - 8 |
Veränderung zu Aufgabe 3:
___________________________________________________________________________
Punkte: A( 4 |1), B( -4 |1)
Koordinaten des Höhenschnittpunktes:
x |
-2 |
-1 |
-0,5 |
0 |
0,5 |
1 |
2 |
3 |
x |
y |
-11 |
-14 |
-14,75 |
-15 |
-14,75 |
-14 |
-11 |
-6 |
x2 - 15 |
Veränderung zu Aufgabe 3:
___________________________________________________________________________
Herleitung des Einstiegsbeispiels:

Beachten Sie bitte die Bemerkungen zu den Aufgaben im Überblick.
Einstieg quadratische Funktionen: Herunterladen [pdf][570 KB]
Weiter zu Verschiebung in y-Richtung