Zur Hauptnavigation springen [Alt]+[0] Zum Seiteninhalt springen [Alt]+[1]

Zusammenfassung

Maxwell-Gleichungen

Mathematische Formulierung für die Universität:




Verbale Formulierung für die Schule:

  1. Positive Ladungen sind Quellen und negative Ladungen Senken des elektrischen Feldes:
    Beschreibung

  2. Es gibt keine magnetischen Monopole
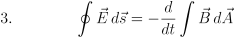
  3. Induktionsgesetz: Jedes sich zeitlich verändernde magnetische Feld ist von einem elektrischen Wirbelfeld umgeben:
    Beschreibung

  4. Teil 1: Jeder elektrische Leiter, der von einem elektrischen Strom durchflossen wird, ist von einem magnetischen Wirbelfeld umgeben:
    Beschreibung

  5. Teil 2: Zusätzlich ist jedes sich zeitlich verändernde elektrische Feld  von einem magnetischen Wirbelfeld umgeben:
    Beschreibung

 

Zusammenfassung: Herunterladen [docx][225 KB]

 

Weiter zu Digitale Erhebungen und Lernquiz im Physikunterricht