Gesamtablenkung des Strahls
Gesamtablenkung des Strahls
Die gesamte Ablenkung syg ergibt sich nach Abbildung 25a aus zwei Anteilen: Die Ablenkung sy1 im Kondensator und die Ablenkung sy2 durch die anschließende Querbewegung der Ionen.
Sowohl die Ablenkungsstrecke sy1 nach Durchlaufen des Ablenkkondensators (Gleichung 7) als auch die Ablenkung sy2 im feldfreien Raum nach Verlassen des Kondensators (Gleichung 5) sind bereits berechnet worden.
Berechnung der Gesamtablenkung
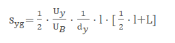
Die gesamte Ablenkung in y-Richtung errechnet sich zu:
und mit Gleichung 7 und Gleichung 5 ergibt sich:
Hierbei sind l die Länge der Kondensatorplatten und L die x-Komponente der Strecke zwischen dem Kondensatorende und dem Zielpunkt. Uy ist die Spannung am Ablenkkondensator, UB die Beschleunigungsspannung und dy der Plattenabstand des Ablenkkondensators.
Durch ausklammern des gemeinsamen Faktors ergibt sich schließlich die Gesamtablenkung von der x-Achse zum Auftreffpunkt zu :
Weiter
- mit den Aufgaben: Aufgaben zur Gesamtablenkung im Querfeld
- zum nächsten Thema: Geschwindigkeitsfilter
- Oder zurück zu: Physik der Ionenstrahlung
Weiter zu Rechenaufgaben zur Gesamtablenkung
