Station 3: Fehlersuche - Lösung
In den Aufgaben ist jeweils 1 Fehler. Finde ihn heraus!
Löse schriftlich in Partnerarbeit:
| Leicht | ||
|
|
Lösung: |
|
| Mittel | ||
|
|
Lösung: |
|
| Schwer | ||
|
|
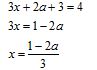
Lösung: |
|
Lösung Station 3 herunterladen [doc][32 KB]