Zur Hauptnavigation springen [Alt]+[0] Zum Seiteninhalt springen [Alt]+[1]

Tempoduett

Bearbeiten Sie jede Aufgabe einzeln. Finden Sie einen gleichschnellen Partner/in und vergleichen Sie ihre Lösungen bzw. korrigieren Sie gegenseitig Ihre Ergebnisse.

1. Potenzieren von Potenzen und Potenzen mit negativen Exponenten.
Lösen Sie folgende Aufgaben mit Hilfe der Potenzrechengesetze.

a) (10 5 ) 3 =

b) (2 -5 ) 2 =

c) (7a 5 ) 2 =

d) (5a 2 x) 3 =

e) (17a 12 ) 0 =

f) (3b 5 +x) 3 =

2. Addieren und Subtrahieren von Potenzen.
Fassen Sie folgende Aufgaben mit Hilfe der Potenzrechengesetze zusammen.

a) a 2 + b 3 + c 3 + b 2 + c 3 + b 2 =

b) 27x 3 – 20y 2 – 18x 3 + 9y 2 =

c) 2b -2 + 2c 3 +3b 2 + c 3 + 4b -2 =

d) 2b -2 - 2c 3 -3b 2 - c 3 - 4b -2 =

3. Multiplikation und Division von Potenzen mit gleicher Basis.
Lösen Sie folgende Aufgaben mit Hilfe der Potenzrechengesetze.

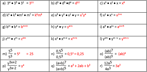
a) 3 4 · 3 5 · 3 2 =

b) d 3 · d 5 · d 4 =

c) x 3 · x 2 · x =

d) k 3 · k 5 ·m 2 · m 7 =

e) x 5 · y 3 · x 2 · y =

f) x 2 · x n =

g) b m · b 3 =

h) y a · y =

i) a 5 · a 2x =

j) z 2m · z m =

k) x 3 · x m-2 =

l) y 2m · y m -1 =

m) m

n) n

o) o

p) p

q) q

r) r

4. Multiplikation und Division von Potenzen mit gleichem Exponenten.
Lösen Sie folgende Aufgaben mit Hilfe der Potenzrechengesetze.

a) 5 3 · 2 3 =

b) 5 x · 2 x =

c) x a · y a =

d) (x+y) 2 · 5 2 =

e) 4e

f) 0,5 5 · 10 5 · 0,2 5 =

g) 4g

h) 4h

i) 4i

 

Tempoduett - Lösung:

Bearbeiten Sie jede Aufgabe einzeln. Finden Sie einen gleichschnellen Partner/in und vergleichen Sie ihre Lösungen bzw. korrigieren Sie gegenseitig Ihre Ergebnisse.

1. Potenzieren von Potenzen und Potenzen mit negativen Exponenten.
Lösen Sie folgende Aufgaben mit Hilfe der Potenzrechengesetze.

Lösung 1

2. Addieren und Subtrahieren von Potenzen.
Fassen Sie folgende Aufgaben mit Hilfe der Potenzrechengesetze zusammen.

Lösung 2

3. Multiplikation und Division von Potenzen mit gleicher Basis.
Lösen Sie folgende Aufgaben mit Hilfe der Potenzrechengesetze.

Lösung 3

4. Multiplikation und Division von Potenzen mit gleichem Exponenten.
Lösen Sie folgende Aufgaben mit Hilfe der Potenzrechengesetze.

Lösung 4

 

Tempoduett herunterladen [doc][63 KB]