Zur Hauptnavigation springen [Alt]+[0] Zum Seiteninhalt springen [Alt]+[1]

Station 6: Zahlenrätsel - Lösung

Übersetze den Text in eine Gleichung und löse diese dann in der gesamten Gruppe.

Leicht
  1. Die Summe einer Zahl und 15 ergibt 27.

    Lösung:

    Lösung 1

  2. Das Doppelte einer Zahl wird um 7 vergrößert und ergibt 15.

    Lösung:

    Lösung 2
Mittel
  1. Teilt man eine Zahl durch 3, so erhält man das Gleiche, wie wenn man von ihr 10 subtrahiert

    Lösung:

    Lösung 3

  2. Das 13fache einer Zahl um 5 vergrößert ist gleich dem 5fachen der Zahl, von dem 67 subtrahiert wird.

    Lösung:

    Lösung 4
Schwer
  1. Von 2 wird das Doppelte einer Zahl subtrahiert. Dann erhalte ich das 5fache der um 4 verminderten Zahl.

    Lösung:

    Lösung 5


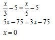
  2. Eine durch 3 dividierte Zahl wird um 5 vermindert. Ich erhalte die durch 5 dividierte Zahl, die um 5 vermindert ist.

    Lösung:

    Lösung 6

 

Lösung Station 6 herunterladen [doc][33 KB]