Station 5: Probe - Lösung
Setze den gegebenen Wert für x ein und überprüfe, ob x eine Lösung ist.
Mache also die Probe!
Partnerarbeit.
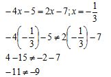
Leicht
Lösung:
| a |
|
| b |
|
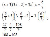
Mittel
Lösung:
| a |
|
| b |
|
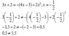
Schwer
Lösung:
| a |
|
| b |
|
Lösung Station 5 herunterladen [doc][33 KB]