Geometrie Bsp. 1
Klausuren Impuls 1 (Analytische Geometrie)
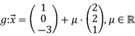
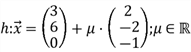
Gegeben sind die Gleichungen der beiden Geraden g und h


a) Der gemeinsame Punkt S von g und h hat die x2-Koordinate 4. Geben Sie die Koordinaten von S an.
b)
Lösung für a): S(5|4|-1)
Mögliche Aufgabenstellung für b):
Eine Gerade j entspricht der Winkelhalbierenden eines Winkels, der beim Schnitt der Geraden g und h entsteht. Ermitteln Sie eine mögliche Gleichung einer solchen Geraden j.
Mögliche Lösung:
Mögliche Aufgabenstellung 2:
Es gibt Punkte, die von S 3 LE entfernt sind und von beiden Geraden den gleichen Abstand haben. Bestimmen Sie die Koordinaten eines dieser Punkte.
Mögliche Lösung:
Geometrie Bsp. 1: Herunterladen [docx][26 KB]
Geometrie Bsp. 1: Herunterladen [pdf][136 KB]
Weiter zu Geometrie Bsp. 2