Zur Hauptnavigation springen [Alt]+[0] Zum Seiteninhalt springen [Alt]+[1]

Berechnung Abstand Antennenspitze - Stromleitung

Abstand Antennenspitze - Stromleitung

Gegeben:

Antennenspitze:
Formel

Anfangs- und Endpunkt der Stromleitung:
Formel , Formel

 

1. Schritt
Bestimmung der Geraden (Stromleitung)

Berechnung des Vektors Formel :

Formel

Ermittlung der Geraden g:

Formel

 

2.Schritt
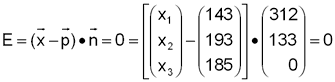
Bestimmung der Koordinatenform der Ebene Formel

Normalenvektor:

Formel

da

Normalenform von E:   Formel

Ausmultipliziert:   Formel

Koordinatenform:  Formel

 

3.Schritt
Bestimmung des Schnittpunktes F von E und g:
Einsetzen von g in E:

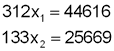
Formel

Formel
Formel
Formel
Formel

 

4.Schritt
Bestimmung des Betrags d des Vektors  Formel

Bestimmung des Vektors  Formel
Formel

Betrag d von 
Formel
Formel