Zur Hauptnavigation springen [Alt]+[0] Zum Seiteninhalt springen [Alt]+[1]

Unterrichtsplanung

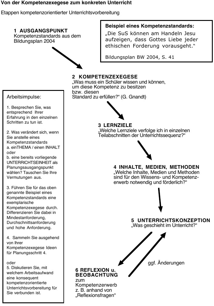
Infobox

Diese Seite ist Teil einer Materialiensammlung zum Bildungsplan 2004: Grundlagen der Kompetenzorientierung. Bitte beachten Sie, dass der Bildungsplan fortgeschrieben wurde.

Bild: Unterrichtsplanung

 

Unterrichtsplanung: Herunterladen [pdf] [52 KB]

Begleittext: Herunterladen [doc] [25 KB]