Zur Hauptnavigation springen [Alt]+[0] Zum Seiteninhalt springen [Alt]+[1]

Beispielaufgaben Klasse 8

Infobox

Diese Seite ist Teil einer Materialiensammlung zum Bildungsplan 2004: Grundlagen der Kompetenzorientierung. Bitte beachten Sie, dass der Bildungsplan fortgeschrieben wurde.

nach Themengebieten geordnet

Reelle Zahlen

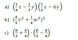
1 Vereinfache.

wadi 8

2 Vereinfache so weit wie möglich.

wadi 8

aus WADI 8 A20/A20*

Wahrscheinlichkeit

1 Vervollständige das Baumdiagramm.

wadi 8

2 In einer Urne sind zwei rote, drei grüne und vier blaue Kugeln. Es werden nacheinander drei Kugeln gezogen und jeweils auf den Tisch gelegt. Bestimme die Wahrscheinlichkeit für

  1. „zuerst werden zwei grüne und dann eine rote Kugel gezogen“;
  2. „alle gezogenen Kugeln sind rot“;
  3. “beide rote Kugeln wurden gezogen, aber keine blaue“;
  4. “blau wurde frühestens im 3.Zug gezogen“;
  5. “es wurde höchstens zwei Mal blau gezogen“.

3 Aus dem Lostopf wird dreimal nacheinander eine Kugel gezogen , wobei die gezogene Kugel wieder zurückgelegt wird. Welche Terme geben die Wahrscheinlichkeit an, dass dabei höchstens zweimal eine gerade Zahl gezogen wird?

wadi 8

wadi 8

aus WADI 8 D3*

Terme umformen

1 Vereinfache den Term soweit wie möglich

wadi 8

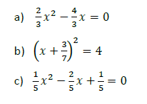
Quadratische Gleichungen

1 Gib die Lösungen der quadratischen Gleichungen an

wadi 8

 

weiter mit Beispielaufgaben Klasse 9

Beispielaufgaben Klasse 8: Herunterladen [pdf] [148 KB]