Zur Hauptnavigation springen [Alt]+[0] Zum Seiteninhalt springen [Alt]+[1]

Beispielaufgaben Klasse 9

Infobox

Diese Seite ist Teil einer Materialiensammlung zum Bildungsplan 2004: Grundlagen der Kompetenzorientierung. Bitte beachten Sie, dass der Bildungsplan fortgeschrieben wurde.

nach Themengebieten geordnet

Zentrische Streckung

1 g und h sind parallel. Berechne die fehlenden Größen:

wadi 9

2 Sind g und h parallel?

wadi 9

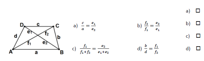
3 AB ll CD - Kreuze alle richtigen Verhältnisgleichungen an:

wadi 9

aus WADI 9 B16/B16*

Potenzrechnung

1 Welche der Ergebnisse sind richtig?

wadi 9

2 Welche Zahl muss man für ☐ bzw. ο einsetzen?

wadi 9

3 Welche der Zahlen ist gleich?

wadi 9

aus WADI 9 A25/A25*

4 Schreibe als eine Potenz

wadi 9

aus WADI 9 A27

Wahrscheinlichkeit

1 Ein idealer Würfel wird zweimal geworfen. Dabei werden folgende Ereignisse betrachtet:

  1. „Der erste Würfel zeigt eine 2“.
  2. „Das Produkt der Zahlen ergibt 6“.
  3. „Der zweite Würfel zeigt 5“.

Bestimme jeweils die Wahrscheinlichkeiten.

2 Aus einem Behälter mit 10 roten, 2 gelben und 8 schwarzen Kugeln wird 2mal eine Kugel gezogen , ihre Farbe notiert und anschließend zurückgeworfen. Mit welcher Wahrscheinlichkeit

  1. ist die erste Kugel rot und die zweite Kugel schwarz?
  2. die erste Kugel gelb oder die zweite rot?
  3. ist mindestens eine Kugel schwarz?

aus WADI 9 D6

 

weiter mit Brüche

Beispielaufgaben Klasse 9: Herunterladen [pdf] [199 KB]