Lösungen
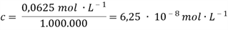
Stoffmengenkonzentration in der Ausgangslösung
2%-ige Methylenblaulösung (2 Gramm Methylenblau in 100 mL Lösung)


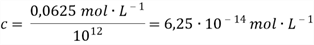
Stoffmengenkonzentration in der Verdünnung D6

Anzahl an Molekülen in 1 Liter D12


1 mol enthält

Teilchen.
Anzahl der Teilchen =

In der Lösung sind ca. 37 Milliarden Teilchen enthalten.
Homöopathie: Herunterladen [docx][152 KB]
Homöopathie: Herunterladen [pdf][354 KB]
Weiter zu Alle Dateien herunterladen