Einstieg: Wurzelgleichungen
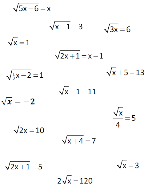
Welche der folgenden Gleichungen kannst du im Kopf lösen?
- Färbe die Gleichungen, die du durch scharfes Hinsehen lösen kannst, grün.
- Färbe die, die du auch schaffst, auch wenn es schwieriger ist, blau.
- Färbe die, die du eher nicht im Kopf lösen kannst, rot.
- Schreibe bei allen, die du im Kopf lösen konntest, deine Lösung hin.

Einstieg: Wurzelgleichungen: Herunterladen [pdf][468 KB]
Weiter zu Beispiele: Wurzelgleichungen