Zur Hauptnavigation springen [Alt]+[0] Zum Seiteninhalt springen [Alt]+[1]

Einschaltvorgang einer Spule mit Modellbildung

Infobox

Diese Seite ist Teil einer Materialiensammlung zum Bildungsplan 2004: Grundlagen der Kompetenzorientierung. Bitte beachten Sie, dass der Bildungsplan fortgeschrieben wurde.

Hinweis

Es wird darauf hingewiesen, dass für jedes Experiment entsprechend der eigenen Durchführung vor der erstmaligen Aufnahme der Tätigkeit eine Gefährdungsbeurteilung durchgeführt und dokumentiert werden muss. Jede fachkundige Nutzerin/jeder fachkundige Nutzer muss die aufgeführten Inhalte eigenverantwortlich prüfen und an die tatsächlichen Gegebenheiten anpassen.

Weder die Redaktion des Lehrerfortbildungsservers noch die Autorinnen und Autoren der veröffentlichten Experimente übernehmen jegliche Haftung für direkte oder indirekte Schäden, die durch exakten, veränderten oder fehlerhaften Nachbau und/oder Durchführung der Experimente entstehen. Weiterführende Informationen erhalten Sie unter www.gefahrstoffe-schule-bw.de

Bezug zum Bildungsplan

2. Physik als theoriegeleitete Erfahrungswissenschaft
  1. Die SuS können die naturwissenschaftliche Arbeitsweise Hypothese, Vorhersage, Überprüfung im Experiment, Bewertung, … anwenden und reflektieren.
  2. Die SuS können ein Modell erstellen, mit einer geeigneten Software bearbeiten und die berechneten Ergebnisse reflektieren.
3. Formalisierung und Mathematisierung in der Physik
  1. Die SuS können vorgegebene (auch bisher nicht im Unterricht behandelte) Formeln zur Lösung physikalischer Probleme einsetzen.
4. Spezifisches Methodenrepertoire der Physik
  1. Die SuS können Zusammenhänge zwischen physikalischen Größen untersuchen.
  2. Die SuS können Experimente unter Anleitung planen, durchführen, auswerten, grafisch veranschaulichen und einfache Fehlerbetrachtungen vornehmen.
  3. Die SuS können computerunterstützte Messwerterfassungs- und Auswertungssysteme im Praktikum selbstständig einsetzen.
8. Grundlegende physikalische Größen

Die SuS können mit weiteren grundlegenden physikalischen Größen umgehen: elektrische Stromstärke, elektrische Spannung, Induktivität.

Unterrichtlicher Zusammenhang

In einem Einstiegsexperiment - zwei parallel geschaltete Lämpchen werden mit einer in Reihe geschalteten Spule bzw. einem dazu in Reihe geschalteten Ohm'schen Widerstand eingeschaltet - haben die Schülerinnen und Schüler gesehen, dass das Lämpchen im Spulenstromkreis später als das Lämpchen im Stromkreis mit dem Ohm'schen Widerstand aufleuchtet. Sie haben als Ursache die Selbstinduktion der Spule erkannt und eine Vermutung über den Verlauf der Zeit-Stromstärke-Kennlinie aufgestellt. Nun sollen die Schülerinnen und Schüler ihre Vermutung anhand eines Experiments überprüfen und anschließend eine Modellbildung durchführen. Die erforderliche Theorie dazu wird im Unterricht besprochen oder durch angemessene Lektüre erarbeitet.

Problemstellung

Aufgrund von Selbstinduktion in der Spule erreicht der Strom in der Spule beim Einschalten nicht sofort seinen maximalen Wert. Wie verläuft der Einschaltvorgang genau?

Ziel

Durch eigenes Experimentieren lernen Sie die Besonderheiten beim Einschalten einer Spule kennen. Aus den Messungen können Sie die Induktivität einer realen Spule ermitteln. Sie gewinnen dabei mehr Sicherheit im Experimentieren mit CASSY und nutzen Ihre Kenntnisse zur Modellbildung mit CASSY Lab.

Aufgabenstellung

Untersuchen Sie den Einschaltvorgang einer Spule, ermitteln Sie ihre Induktivität und bilden Sie den Einschaltvorgang in einem geeigneten Modell nach.

Geräte
1 LH-Spule 1000 Windungen (59084)
1 Schalter
1 Schüler-Experimentiernetzgerät
1 Stecksystem
1 Pocket-CASSY (524006) mit USB-Kabel
1 UIP-Sensor S (5240621)
1 PC oder Laptop

Vorbetrachtung

  1. Versuchen Sie, die die Induktivität der verwendeten Spule zu schätzen!
  2. Es handelt sich bei dieser Spule sicher nicht um eine langgestreckte Spule. Ermitteln Sie dennoch aus der Geometrie der verwendeten Spule einen groben Näherungswert für die Induktivität dieser Spule.
  3. Schätzen Sie den Ohm’schen Widerstand des Spulendrahtes ab! Tipp: Widerstandsgesetz: R = ρ⋅l/A
  4. Wie lässt sich der Ohm’sche Widerstand der Spule experimentell ermitteln?

Durchführung

  1. Zeit-Stromstärke-Kennlinie beim Einschalten einer Spule
    1. Bauen Sie eine Schaltung zum Ein- und Ausschalten einer Spule auf.

      Schaltplan

    2. Schließen Sie das Messwerterfassungssystem so an, dass Sie die Stromstärke messen können.
    3. Nehmen Sie in CASSY Lab die notwendigen Einstellungen vor, um die t-I-Kennlinie messen zu können. Die Messung soll automatisch starten, wenn die Stromstärke anzusteigen beginnt. (Tipp: Trigger für I so klein wie möglich einstellen! Testen!)
  2. Modellbildung
    1. Vorbereitung der Modellbildung
      1. Unter Einstellungen Icon Einstellungen Registerkarte Parameter/Formel/FFT wählen.
      2. Folgende neue Größen eingeben:
        Induktivität und Widerstand sind Konstanten, die von der verwendeten Spule abhängen. Sie können während des Versuchsablaufs (im Modell) verändert werden. Geben Sie die in den Vorbetrachtungen geschätzten Werte ein!

        Neue Größen

        Neue Größen

        Die Spannung U 0 sei die an die Spule angelegte Spannung.

        Neue Größen

    2. Modellbildung
      Die Modellbildung erfolgt durch Eingabe der Differenzialgleichung für die Stromstärke beim Einschalten:

      dI(t)/dt=U0/L-R/L*I(t)

      Modellbildung: Eingabe der DGL

      Vorgehen:
      1. Neues Modell wählen und Namen für das Modell festlegen.
      2. Stromstärke I definieren.
      3. Anfangswert für I(t = 0 s) eingeben: 0
      4. Differenzialgleichung eingeben: U_0/L*1000-R/L*1000*I
        Hinweis: Die Faktoren kommen zustande, da die Induktivität L in mH eingegeben wurde.
    3. Darstellung für Diagramm auswählen

      Einstellungen für das Diagramm

    4. Messparameter anzeigen und eingeben

      Messparameter einstellen

Erneute Durchführung des Versuches:

Mit Icon Messung starten oder F9. Die Kurve aus der Modellbildung wird automatisch mitgezeichnet.

Zusatzaufgaben:

Führen Sie den Versuch mit Spulen anderer Windungszahlen bzw. Induktivitäten aus. Machen Sie Vorhersagen über den Verlauf der Kennlinien.

Auswertung

  1. Zeit-Stromstärke-Kennlinie beim Einschalten der Spule und Modellkurve
    1. Interpretieren Sie den Verlauf der entstandenen Kennlinien. Finden Sie Gemeinsamkeiten und Unterschiede zwischen Modell und Realexperiment.
    2. Durch Verschieben der jeweiligen Schieberegler für Induktivität und Widerstand kann die Modellbildungskurve der Messkurve angenähert werden. Regeln Sie so, dass Modell und Experiment gut übereinstimmen. Ermitteln Sie so die Werte für Induktivität und Widerstand der Spule! Vergleichen Sie mit Ihrer Schätzung!
      (Angabe des Herstellers für Spule Leybold STE 2/50 mit 1000 Windungen: R = 18 Ω und L = 17,5 mH)
    3. Welche Einflüsse haben Induktivität, Widerstand und angelegte Spannung auf den Einschaltvorgang?
    4. Begründen Sie eventuelle Abweichungen zwischen Modell und Experiment!
  2. Induktivität und Widerstand der Spule ohne Modellbildungssystem

    Ermitteln Sie Induktivität und Widerstand der Spule aus der t-I-Kennlinie ohne Modellbildung.

    Hinweis:
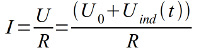
    Bestimmen Sie den Widerstand der Spule durch R = U 0 /I max .
    Aus
    I=U/R=(U_0-U_ind(t))/R
    folgt mit
    U_ind(t)=-L*dI(t)/dt
    die Gleichung
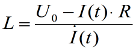
    L=(U_0-I(t)*R)/(dI(t)/dt)
    für die Induktivität der Spule.
    Ermitteln Sie dazu für einen geeigneten Zeitpunkt t die Steigung der Kurve.
  3. Energie des elektrischen Feldes
    1. Das magnetische Feld der Spule ist Speicher von Energie. Es gilt:
      Die Gesamtenergie E_mag ist gleich das Integral von 0 bis unendlich über die Leistung P(t)
      mit P(t) = -U ind (t)⋅I(t) und U ind (t) = I(t)⋅R-U 0
    2. Definieren Sie die Größen Uind und P. Stellen Sie Uind(t), P(t) und I(t) in einem Diagramm dar.
    3. Ermitteln Sie die Energie des magnetischen Feldes, indem Sie die Fläche unter der P(t)-Kurve berechnen lassen.
    4. Ermitteln Sie die im Magnetfeld der von Ihnen verwendeten Spule gespeicherte Energie durch Rechnung mit E mag  = L⋅I 2 /2 und vergleichen Sie!
    5. Durch die unten angegebene Graphik wird ebenfalls die Energie des magnetischen Feldes der verwendeten Spule ermittelt. Welche Idee wurde hier verfolgt?

      Auswertung mit Hilfe von Flächen unter einer Kurve

Versuchsbeispiel:

Aufbau:

Versuchsaufbau

Auswertung:
Zu I: a)

Diagramm I a)

Zu I: b)-d)

Diagramm I b)-d)

Zu II:

Diagramm II

Zu III: b)

Diagramm III b)

Zu III: c)

Diagramm III c)

Download

Einschaltvorgang einer Spule mit Modellbildung: Herunterladen [doc] [3 MB]

 

Weiter mit Cassy 1: Elektromagnetischer Schwingkreis