Zur Hauptnavigation springen [Alt]+[0] Zum Seiteninhalt springen [Alt]+[1]

Schwingung Federpendel — mit Ultraschall-Bewegungssensor

Infobox

Diese Seite ist Teil einer Materialiensammlung zum Bildungsplan 2004: Grundlagen der Kompetenzorientierung. Bitte beachten Sie, dass der Bildungsplan fortgeschrieben wurde.

Hinweis

Es wird darauf hingewiesen, dass für jedes Experiment entsprechend der eigenen Durchführung vor der erstmaligen Aufnahme der Tätigkeit eine Gefährdungsbeurteilung durchgeführt und dokumentiert werden muss. Jede fachkundige Nutzerin/jeder fachkundige Nutzer muss die aufgeführten Inhalte eigenverantwortlich prüfen und an die tatsächlichen Gegebenheiten anpassen.

Weder die Redaktion des Lehrerfortbildungsservers noch die Autorinnen und Autoren der veröffentlichten Experimente übernehmen jegliche Haftung für direkte oder indirekte Schäden, die durch exakten, veränderten oder fehlerhaften Nachbau und/oder Durchführung der Experimente entstehen. Weiterführende Informationen erhalten Sie unter www.gefahrstoffe-schule-bw.de

Versuch mit Modellbildung

Bezug zum Bildungsplan

2. Physik als theoriegeleitete Erfahrungswissenschaft
  1. Die SuS können die naturwissenschaftliche Arbeitsweise Hypothese, Vorhersage, Überprüfung im Experiment, Bewertung, ... anwenden und reflektieren.
  2. Die SuS können ein Modell erstellen, mit einer geeigneten Software bearbeiten und die berechneten Ergebnisse reflektieren.
4. Spezifisches Methodenrepertoire der Physik
  1. Die SuS können Zusammenhänge zwischen physikalischen Größen untersuchen.
  2. Die SuS können Experimente unter Anleitung planen, durchführen, auswerten, grafisch veranschaulichen und einfache Fehlerbetrachtungen vornehmen.
  3. Die SuS können computerunterstützte Messwerterfassungs- und Auswertungssysteme im Praktikum selbstständig einsetzen.
9. Strukturen und Analogien
  1. Die SuS können ihre Vorstellungen und Ausdrucksweisen über Schwingungen und Wellen in eine angemessene Fachsprache und mathematische Beschreibung überführen.

Grundkenntnisse werden bei folgenden Themen erwartet:
Inhalte:
Harmonische mechanische Schwingung, Differenzialgleichung

8. Grundlegende physikalische Größen

Die SuS können mit weiteren grundlegenden physikalischen Größen umgehen: Frequenz, Periodendauer, Amplitude, Geschwindigkeit, Beschleunigung, Kraft

Unterrichtlicher Zusammenhang

Einsatz im Praktikum der Kursstufe oder als Einstiegsexperiment zur harmonischen Schwingung eines Federpendels

Problemstellung

Wie verläuft die Schwingung eines Federpendels?

Ziel

Sie werden die Schwingung eines Federpendels untersuchen und Kenngrößen einer Schwingung bestimmen. Aus dem Zeit-Elongations-Diagramm werden Sie das Zeit-Geschwindigkeits-Diagramm und das Zeit-Beschleunigungs-Diagramm ableiten und Beziehungen zwischen den Größen Elongation, Geschwindigkeit und Beschleunigung erkennen. Außerdem werden Sie mit dem Modellbildungssystem von CASSY vertraut gemacht und können somit den Schwingungsvorgang simulieren und Kenngrößen des Federpendels ableiten. Sie festigen Ihre Kenntnisse beim Experimentieren und beim Umgang mit dem Messwerterfassungssystem CASSY.

Aufgabenstellung

Untersuchen Sie die Schwingung eines vertikalen Federpendels mit einem Ultraschall-Bewegungssensor. Lesen Sie aus dem Schwingungsbild die Kenngrößen Amplitude, Frequenz und Periodendauer ab und erstellen Sie aus dem Zeit-Elongations-Diagramm das Zeit-Geschwindigkeits- und Zeit-Beschleunigungs-Diagramm. Geben Sie die Differenzialgleichung der harmonischen Schwingung an und erstellen Sie ein Modell der harmonischen Schwingung.

Geräte

Notebook
1 Pocket-CASSY (524 006) mit USB-Kabel
1 Ultraschall-Bewegungssensor S (524 070)
Hooke'sche Feder mit Wägestück
Stativmaterial

Aufbau

Bauen Sie das vertikale Federpendel auf. Nehmen Sie für den Ultraschall-Bewegungssensor folgende Einstellungen vor:

Einstellungen Untraschall-Bewegungssensor

Korrigieren Sie die Elongation auf Null, wenn der Schwinger sich in der Gleichgewichtslage und in Ruhe befindet. Stellen Sie außerdem eine sinnvolle Messdauer ein.

Vorbetrachtung

Schätzen Sie zunächst die Federkonstante D der Feder! Ermitteln Sie die Federkonstante anschließend durch Messung.

Durchführung

  1. Versetzen Sie das Federpendel in Schwingungen. Starten Sie die Messung. Der Auslöser am Ultraschall-Bewegungssensor startet die Aufnahme der Messdaten.
  2. Modellbildung
    1. Vorbereitung der Modellbildung
      1. Unter Einstellungen Icon Einstellungen den Zweig Rechner wählen und dort Parameter bzw. Formel auswählen.
      2. Folgende Parameter neu eingeben:
        Federkonstante D und Masse m sind Konstanten, die von der verwendeten Feder und dem angehängten Körper abhängen. Sie können während des Versuchsablaufs (im Modell) verändert werden. Geben Sie die ermittelte Federkonstante und die Masse des schwingenden Körpers ein!

        Federkonstante definieren

        Masse als Konstante definieren

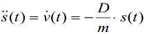
    2. Die Modellbildung erfolgt durch Eingabe der Differenzialgleichung.

      (d^2s(t))/(dt^2)=dv(t)/dt=-D/m*s(t)

      Es handelt sich um eine Differenzialgleichung 2. Ordnung. Daher müssen zwei Größen (Elongation s und Geschwindigkeit v) für die Eingabe der Differenzialgleichung definiert werden.

      Elongation s und die Ableitung von s als Geschwindigkeit v definieren

      Abhängigkeit zwischen Geschwindigkeit v und Elongation s definieren

      Vorgehen:
      1. Neues Modell wählen und Namen für das Modell festlegen.
      2. Elongation s und Geschwindigkeit v definieren.
      3. Anfangswert für s(t = 0 s) eingeben: 0
        Anfangswert für v(t = 0 s) eingeben: Dem Experiment angepasst sinnvoll wählen.
        Hinweis: Die Messung mit dem Ultraschall-Bewegungssensor lässt sich nicht über einen Trigger starten. Daher bietet sich folgendes Vorgehen an:
        Als Anfangswert für s (t = 0 s) = 0 eingeben und den Auslöser am Ultraschall-Bewegungssensor genau in dem Moment betätigen, wenn sich der schwingende Körper von unten kommend durch die Gleichgewichtslage bewegt. Dann beginnt auch die Messwertaufnahme ungefähr bei s = 0 m. Die Anfangswerte können nach der Messung angepasst und korrigiert werden!
      4. Differenzialgleichung eingeben: -D/m*s
    3. Darstellung für Diagramm auswählen

      Einstellungen für das Diagramm

Erneute Durchführung des Versuches:

Mit Icon Messung starten bzw. stoppen oder F9. Die Kurve aus der Modellbildung wird automatisch mitgezeichnet. Auslöser am Ultraschall-Bewegungssensor beim Durchgang von unten durch die Gleichgewichtslage betätigen.

Auswertung

Zu I:
  1. Beschreiben Sie den Verlauf des erhaltenen Zeit-Elongations-Schaubildes.
  2. Bestimmen Sie Amplitude, Periodendauer und Frequenz der Federschwingung!
  3. Begründen Sie, weshalb die Schwingung harmonisch ist!
  4. Durch welche Funktion wäre für eine harmonische Schwingung eine Anpassung möglich? Führen Sie eine solche Anpassung durch!
Zu II.
  1. Im Allgemeinen wird das Zeit-Elongations-Diagramm der Modellbildung nicht mit dem Zeit-Elongations-Diagramm übereinstimmen. Ändern Sie zunächst in der Registerkarte Modellbildung die Anfangswerte für die Elongation und die Geschwindigkeit.
  2. Lassen Sie die Masse m und die Federkonstante D in Fenstern anzeigen. Variieren Sie die Schieberegler so, dass die Modellkurve mit der Kurve aus dem Experiment übereinstimmt. Lesen Sie Masse und Federkonstante ab und diskutieren Sie mögliche Abweichungen von den experimentell ermittelten Daten.
Weitere Auswertungen:

Lassen Sie durch Ableiten das Zeit-Geschwindigkeits- und Zeit-Beschleunigungs-Diagramm zeichnen. Welche Phasenbeziehungen herrschen zwischen Elongation, Geschwindigkeit und Beschleunigung? Beschreiben Sie die Schwingung des Federpendels, indem Sie für verschiedene ausgezeichnete Auslenkungen (Umkehrpunkte, Gleichgewichtslage, beliebige Elongation) Geschwindigkeit und Beschleunigung angeben.

Zusatzaufgabe:

Experimentieren Sie mit Körpern anderer Masse und Federn anderer Federkonstante.

Versuchsbeispiel

Aufbau:

Aufbau

Zu I a)

Weg-Zeit-Diagramm

Zu I d)

Funktionsanpassung vornehmen

Weg-Zeit-Diagrammm mit Funktionsanpassung

Zu II. b) Modellbildung

Weg-Zeit-Diagramm mit Modellbildung

Zu weiteren Auswertungen:

Geschwindigkeit und Beschleunigung als Ableitungen

Geschwindigkeit definieren

Beschleunigung definieren

Weg-Zeit-, Geschwindigkeit-Zeit- und Beschleunigung-Zeit-Diagramm

Download

Schwingung Federpendel mit Modellbildung: Herunterladen [doc] [2 MB]

 

Weiter mit Cassy 2: Schwingung Federpendel Speichenrad