Boolesche Algebra
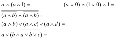
3.1 Vereinfache folgende Schaltfunktionen (keine KV-Tafel).
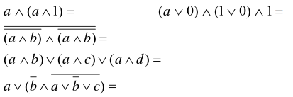
3.2 Vereinfache folgende Schaltfunktionen (keine KV-Tafel).
aufgabensammlung_digitaltechnik_6tg9:
Herunterladen
[docx][523KB]
aufgabensammlung_digitaltechnik_6tg9:
Herunterladen
[pdf][336KB]
Weiter zu