Aufgabenblätter zur Digitaltechnik
3. Boolesche Algebra
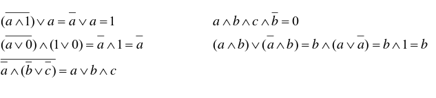
3.1 Vereinfache folgende Schaltfunktionen (keine KV-Tafel).
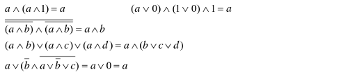
3.2 Vereinfache folgende Schaltfunktionen (keine KV-Tafel).
loesung_uebungen_digitaltechnik_6tg9:
Herunterladen
[docx][1.541KB]
loesung_uebungen_digitaltechnik_6tg9:
Herunterladen
[pdf][583KB]
Weiter zu