Zur Hauptnavigation springen [Alt]+[0] Zum Seiteninhalt springen [Alt]+[1]

Widerstände in Reihe und parallel

Aufgabe 1:

Der Gesamtwiderstand R0 einer Parallelschaltung von Widerständen R1 und R2 wird mit dieser Formel berechnet:
Formel Ersatzwiderstand für zwei parallelgeschaltete Widerstände
Schaltbild für zwei parallelgeschaltete Widerstände
  • Wie groß ist R0 wenn R1=15 Ω und R2=30 Ω

    Lösung: R0 = 10 Ω

  • Wie groß muss R2 gewählt werden, wenn R1=40 Ω und R0=20 Ω

    Lösung: R2 = 40 Ω

  • Für den Gesamtwiderstand R0 von zwei parallel geschalteten Widerständen R1 und R2 kann folgende Formel verwendet werden:

    Formel für zwei parallelgeschaltete Widerstände

    Gehe von der Grundformel aus und beweise die Richtigkeit dieser Formel.

Aufgabe 2:

Der Gesamtwiderstand R0 einer Parallelschaltung von Widerständen R1, R2 und R3 wird mit dieser Formel berechnet:
Formel für drei parallelgeschaltete Widerstände
Schaltbild für drei parallelgeschaltete Widerstände
  • Wie groß ist R0 wenn R1=10 Ω, R2=20 Ω und R3=10 Ω

    Lösung: R0 = 4 Ω

  • Wie groß muss R3 gewählt werden, wenn R1=30 Ω, R2=30 Ω und R0=10 Ω

    Lösung: R3 = 30 Ω

Der Gesamtwiderstand R0 einer Reihenschaltung von Widerständen R1, R2 und R3 wird mit dieser Formel berechnet:

Formel für drei in Reihe geschaltete Widerstände
Schaltbild für drei in Reihe geschaltete Widerstände
  • Wie groß ist R0 wenn R1=100 Ω, R2=2 kΩ und R3=0,5 kΩ

    Lösung: Rges = 2,6 kΩ = 2600 Ω

  • Wie groß muss R3 sein, wenn R1=500 kΩ, R2=0,3 MΩ und R0=1 MΩ

    Lösung: R3 = 200 kΩ = 0,2 MΩ

Aufgabe 4:

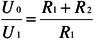
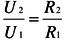
Die Spannungsteiler-Regel sagt etwas über das Verhältnis von Spannungen zu dem Verhältnis der Widerstände, an denen die Spannungen abfallen, aus.

Links ist ein Spannungsteiler und unten einige dazu passende Spannungsteiler-Formeln.

Formel Spannungsteiler 1
Formel Spannungsteiler 2
  • Erkennst Du die Systematik hinter diesen Formeln? Beschreibe sie mit eigenen Worten:

  • Welche Formel würde sich für
    Formel Spannungsteiler 3
    ergeben?

  • Berechne mit einer der Spannungsteiler-Formeln die Spannung U1, wenn
    U0 = 80 V, R1=10 Ω und R2=30 Ω

 

18widerstaende_in_reihe_und_parallel_ab : Herunterladen [doc][45KB]
18widerstaende_in_reihe_und_parallel_ab : Herunterladen [pdf][85KB]

 

Weiter zu

Lösung