Zur Hauptnavigation springen [Alt]+[0] Zum Seiteninhalt springen [Alt]+[1]

Mögliche Differenzierungen im LF

Anknüpfend an die Fragestellungen zu linearen Gleichungssystemen mit „zusätzlichen“ Parametern auf der „rechten Seite“ in Kapitel III. bietet es sich an, auch lineare Gleichungssysteme mit zusätzlichen Parametern auf der „linken Seite“ bzw. auf „beiden Seiten“ zu untersuchen. die über das Standardniveau hinausgehen und nur für die Förderung besonders interessierter Schülerinnen und Schüler gedacht sind. Beispiele hierfür sind:

Beispiel 1:

Beispiel 1

Führt auf folgende Matrix:

Matrix 1

Für t=3/2 hat das lineare Gleichungssystem keine Lösung, sonst genau eine Lösung in Abhängigkeit von t. (Hinweis: mit Augenmaß)

Beispiel 2:

Beispiel 2

Führt auf folgende Matrix:

Matrix 2

Weitere Lösungen existieren für r = 1.

Beispiel 3:

Beispiel 3

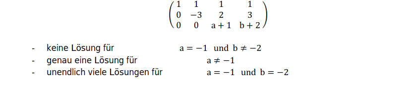
Führt auf folgende Matrix:

Matrix 3

Beispiel 4:

Beispiel 4

  1. Für a=10 hat das lineare Gleichungssystem mehr als eine Lösung , siehe b)

    Für a=−10 hat das lineare Gleichungssystem keine Lösung, da die dritte Gleichung auf 0∙x3=40 führt. In allen anderen Fällen existiert genau eine von a und d abhängige Lösung.

  2. Für a=10 beschreiben die zweite und die dritte Gleichung dieselbe Ebene x3=2.

    Die Lösung des linearen Gleichungssystems liefert die Schnittgerade dieser Ebene mit der durch die erste Gleichung beschriebenen Ebene.

  3. a=−8, d=4

 

 

Ergänzende Hinweise: Herunterladen [pdf][487 KB]

 

Weiter zu Arbeitsauftrag