Zur Hauptnavigation springen [Alt]+[0] Zum Seiteninhalt springen [Alt]+[1]

Station 10: Stationenblatt – Schülerarbeitsblatt

Hinweis

In dieser Station / Auf dieser Seite wird Software / werden Dienste vorgestellt, bei denen Daten auf externen Servern gespeichert werden können. Sie sind verpflichtet, vor einer Nutzung zu prüfen, ob eine Verarbeitung personenbezogener Daten in Übereinstimmung mit den gesetzlichen Bestimmungen erfolgt.

Strukturieren und Vernetzen

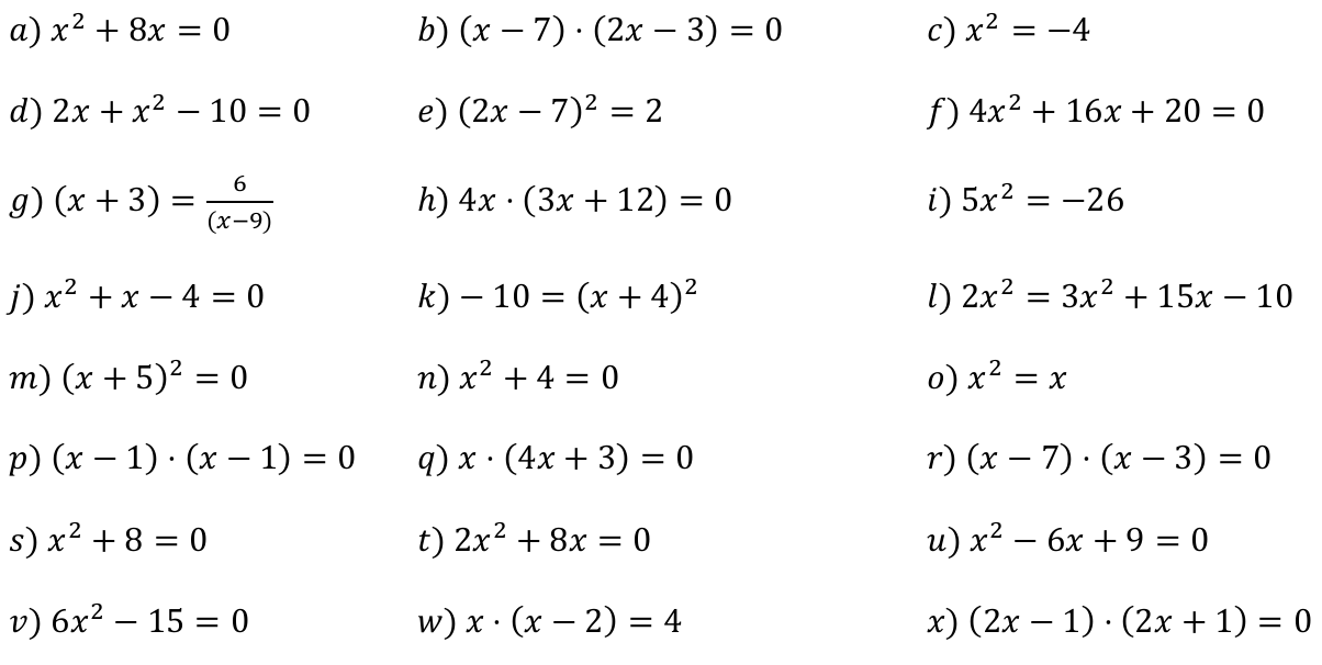
Quadratische Gleichungen strukturieren

Arbeitsauftrag für die Schüler:

  1. Ganze Klasse: Jeder von euch notiert eine Gleichung der abgebildeten Gleichung auf eine Post-It Haftnotiz einschließlich Buchstabe. Legt euren Haftnotizen zusammen mit den anderen auf einen Tisch. Achtet darauf, dass die Haftnotizen nicht überlappen.

Ein Schüler oder die Lehrkraft fotografiert die Haftnotizen ab (sichtbar auf einer Projektion z. B. Beamer per AirPlay) und legt dadurch ein neues Board an. Ggf. müssen die fehlenden Haftnotizen, die nicht automatisch erkannt wurden, manuell in der App hinzugefügt werden. Die Schüler werden in 4-5er Gruppen aufgeteilt. Jede Gruppe hat ein iPad. Anschließend wird das Board per Airdrop oder mit der Classroom App an die Gruppen-iPads verteilt.

  1. Sortiert nun in der App die Haftnotizen nach einem Kriterium eurer Wahl. Fügt am Ende eine digitale Haftnotiz in einer anderen Farbe hinzu, auf die ihr das Sortierungskriterium notiert. Platziert diese Haftnotiz an den oberen Rand eures Boards. Exportiert euer Board als PDF zur App Documents.

Es erfolgt eine Moderationsphase durch die Lehrkraft, in der die unterschiedlichen Sortierkriterien gesammelt werden und vorgestellt werden (Lösungen direkt ablesbar; auf einer Seite Null, Bruchgleichung, zerlegt in Linearfaktoren etc).

  1. Jeder von euch löst vier der Gleichungen. Achtet auf eine faire Verteilung. Ergänzt das Board mit 24 digitalen Post-It Haftnotizen einer anderen Farbe, auf denen jeweils eine Lösung steht. Nun habt ihr eine Zuordnungsaufgabe erstellt, die jeder zuhause als Übung durchführen kann.

Formeln

 


Stationenblatt zu Station 10: Herunterladen [pdf] [1,7 MB]

Weiter mit Station 10: Stationenblatt - Szenario 2