Zur Hauptnavigation springen [Alt]+[0] Zum Seiteninhalt springen [Alt]+[1]

Klassenarbeit

Schwimmen, Schweben, Sinken


Aufgabe 1:

„Wie kann man herausfinden, wovon die Schwimmfähigkeit abhängt?“ Paul plant zu dieser Frage einen Versuch. Er wirft ein große, rote Holzkugel und eine kleine, blaue Stahlkugel ins Wasser und vergleicht.
Ist Pauls Versuch sinnvoll oder nicht? Begründe Deine Entscheidung!


Aufgabe 2: Verbinde, was zusammengehört!

V
l
m
t
 
Länge
Masse
Volumen
Zeit
 
Sekunde
Meter
Kilogramm
Kubikmeter


Aufgabe 3:

Was weißt Du über die Masse der Körper A, B und C?

Massen


Aufgabe 4:

Verbinde, was zusammengehört!

 
Apfel
Elefant
Auto
Zuckerwürfel
Salzkorn
Schokoladentafel
 
1,5 t
3 g
2 mg
100 g
0,15 kg
2800 kg


Aufgabe 5:

Ergänze die fehlende Einheit!

  1. 1 000 cm³ = 1 _____
  2. 1 000 mm³ = 1 _____
  3. 1 000 l = 1 _____

Aufgabe 6:

Ergänze den fehlenden Zahlenwert!

  1. 10 000 cm³ = _____ dm³
  2. 5 000 mm³ = _____ cm³
  3. 28 000 l = _____ m³

Aufgabe 7:

Verbinde, was zusammengehört!

 
Mineralwasserflasche
Tasse
Kochtopf
Spritze beim Arzt
Putzeimer
Schwimmbecken
 
10 m³
10 l
10 ml
2,5 l
250 ml
1 l

 

Aufgabe 8:

Kreuze alle richtigen Aussagen an!

◻ Von der Masse allein hängt die Schwimmfähigkeit nicht ab.
◻ Vom Volumen allein die Schwimmfähigkeit nicht ab.
◻ Vom Material hängt die Schwimmfähigkeit ab.
◻ Von der Dichte hängt die Schwimmfähigkeit ab.


Aufgabe 9:

Kreuze die richtige Aussage an! „Dichte ist …

◻ … Masse geteilt durch Volumen“
◻ … Masse mal Volumen“
◻ … Volumen geteilt durch Masse“
◻ … Volumen mal Masse“


Aufgabe 10:

Kreuze jeweils die richtige Aussage an!

Wenn man einen Körper halbiert, dann …

◻ … halbiert sich die Masse
◻ … verdoppelt sich die Masse
◻ … bleibt die Masse gleich.

Wenn man einen Körper halbiert, dann …

◻ … halbiert sich das Volumen
◻ … verdoppelt sich das Volumen
◻ … bleibt das Volumen gleich.

Wenn man einen Körper halbiert, dann …

◻ … halbiert sich die Dichte
◻ … verdoppelt sich die Dichte
◻ … bleibt die Dichte gleich.


Aufgabe 11:

Verbinde, was zusammengehört!

Verleich Waage-Wasser


Aufgabe 12:

Ein Quader aus Holz ist 20 cm lang, 10 cm breit und 5 cm hoch. Die Dichte von Holz beträgt 0,9 g/cm³. Wird der Quader auf Wasser schwimmen oder untergehen? Begründe Deine Antwort.


Aufgabe 13:

Ein Körper hat das Volumen 80 cm³. Seine Masse beträgt 1,5 kg. Wird der Körper auf Wasser schwimmen oder untergehen? Begründe Deine Antwort.


Aufgabe 14:

Jemand schenkt Dir ein Stück Metall, das aussieht wie Gold. Beschreibe, wie Du herausfinden kannst, ob es wirklich aus Gold ist.


Aufgabe 15:

Ein großes Schiff besteht aus ganz viel Eisen. Eisen schwimmt nicht, sondern sinkt. Erkläre, warum das Schiff trotzdem schwimmt.


Aufgabe 16:

  1. Erkläre, warum eine geschälte Orange sinkt, eine ungeschälte Orange aber schwimmt!
  2. Was könnte man machen, damit auch die geschälte Orange schwimmt?


Aufgabe 17:

Erkläre, warum man die Schwimmblase eines Fisches eigentlich besser „Schwebeblase“ nennen müsste.


Aufgabe 18:

„Ein Walross hat zwei Luftsäcke im Rachen, die es aufblasen kann. Mit dieser Schwimmhilfe kann es – ohne Energie für Schwimmbewegungen verschwenden zu müssen – auf dem Wasser treiben und dort sogar schlafen.“
Erkläre mit Hilfe des Begriffs „mittlere Dichte“, wie diese Schwimmhilfe funktioniert.


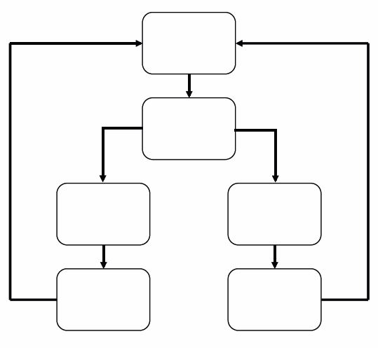
Aufgabe 19:

Man kann die naturwissenschaftliche Arbeitsweise in einem Diagramm darstellen. Ordne die Kästchen richtig zu! Schreibe dazu die Buchstaben A bis F in die Kästchen!

Flussdiagramm

A: Experiment durchführen
B: Bestätigung der Hypothese
C: Widerlegung der Hypothese
D: Hypothese/Behauptung
E: Vertrauen in die Hypothese
F: Ändern/Verbessern der Hypothese

 

Klassenarbeit: Herunterladen [docx] [196 KB]

Klassenarbeit: Herunterladen [pdf] [265 KB]


Weiter zu Lösungshinweise