Zur Hauptnavigation springen [Alt]+[0] Zum Seiteninhalt springen [Alt]+[1]

Potenzregel

Infobox

Diese Seite ist Teil einer Materialiensammlung zum Bildungsplan 2004: Grundlagen der Kompetenzorientierung. Bitte beachten Sie, dass der Bildungsplan fortgeschrieben wurde.

Formaler Beweis der Potenzregel (nicht für den Unterricht)

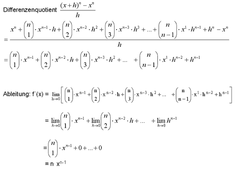
Potenzregel

Beweis: (Verwendete Hilfssätze: Binomischer Lehrsatz; Grenzwertsätze)

Potenzregel

Didaktische Bemerkungen
Die Aussage des Satzes, die Herleitung und der Beweis müssen zuerst an den konkreten Beispielen f(x) = x 2 ,  f(x) = x 3 ,  f(x) = x 4 bearbeitet werden. Das ist für alle Schüler möglich.

An Vorwissen wird benötigt:
a) Die Definition der Ableitung mit der h-Methode. Das sollte noch präsent sein.   
b) Die Binome (x+h) 2 , (x+h) 3 , usw. müssen berechnet werden können. Das ist nicht da und muss bereitgestellt werden (Formelsammlung oder Pascal‘sches Dreieck)
Die zentrale Idee ist: Der Differenzenquotient ergibt beim Vereinfachen immer eine Summe mit einem Summanden ohne h, alle anderen Summanden haben h als Faktor. Also ist eine einfache Grenzwertbildung möglich.
Zur Beweisbedürftigkei t muss der Lehrer Stellung nehmen, zum Beispiel haben drei konkrete Beispiele keinerlei allgemeine Aussagekraft. Erst wenn wir davon mathematisch überzeugt sind, dass die zentrale Idee immer funktionieren muss, kann die Sache als bewiesen gelten.

Fachliche Reduzierungen sind:
a) Die Grenzwertsätze werden „naiv“ verwendet. Es wird z.B. nicht thematisiert, dass der Grenzwert der Summe 2x + h die Summe der Grenzwerte der Summanden ist (für h→0).
(siehe Lesehilfen zum Bildungsplan 2004: Bei der Behandlung von Grenzwertsätzen genügen Plausibilitätsbetrachtungen. )
b) Die Entwicklung von Binomen in Summen wird nicht hergeleitet. Es wird die Formelsammlung benützt oder das Pascal´sche Dreieck angewendet.
(siehe zum Beispiel auch Bildungsplan 2004, Klasse 10, Leitidee Vernetzung).

Weitere spezifische Schwierigkeiten sind
a) Wie werden die „einfachen“ Fälle f(x) = x 0 und f(x) = x 1 erläutert?
b) Beim allgemeinen Beweis gibt es einen neuen Parameter n, das wird unübersichtlich.
c) Die Koeffizienten der Summanden Potenzregel sind keine konkreten  Zahlen, sondern schreibtechnisch schwierige Terme (Binomialkoeffizienten), die der Schüler eventuell schon in einem ganz anderen Zusammenhang kennengelernt hat (Bernoulli-Formel).

Eine vertretbare didaktische Planung wäre zum Beispiel:
- Es werden die konkreten Beispiele f(x) = x 2 ,  f(x) = x 3 ,  f(x) = x 4 bearbeitet.
- Aus diesen konkreten Beispielen wird eine Vermutung formuliert, in Worten und formal.

Diese zwei Schritte kann jeder Schüler erreichen

- Die Schüler erkennen, dass der Beweis für jede natürliche Hochzahl funktionieren muss
- Die Schüler sind in der Lage, mit einer formalen Darstellung zu arbeiten.

Zu den Arbeitsblättern:

Arbeitsblatt 1 Herleitung und Formulierung der Potenzregel ohne Beweis (für alle Schüler)
Arbeitsblatt 2 Beweis der Potenzregel (Zusatz zu AB 1; für gute Schüler)
Arbeitsblatt 3 widmet sich nur der Entwicklung von Binomen mit Hilfe des Pascal´schen Dreiecks. Kann in einer Unterrichtsstunde vor der Potenzregel zur Bereitstellung der binomischen Formeln bearbeitet werden (für alle Schüler).

Bemerkung: Das Pascal´sche Dreieck kann sich auch in anderen Unterrichtssituationen als ergiebig erweisen (Formel von Bernoulli).