Zur Hauptnavigation springen [Alt]+[0] Zum Seiteninhalt springen [Alt]+[1]

Motivation

Infobox

Diese Seite ist Teil einer Materialiensammlung zum Bildungsplan 2004: Grundlagen der Kompetenzorientierung. Bitte beachten Sie, dass der Bildungsplan fortgeschrieben wurde.

Umgang mit Formeln - Einstieg

Aufgabe:
  • Beschreiben Sie die folgenden Formeln in Worten.
  • Beurteilen Sie, ob die Formeln sinnvoll eingesetzt sind.
  • Diskutieren Sie, ob die Benutzung der Formeln physikalisch korrekt ist.
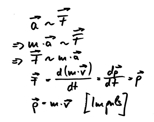
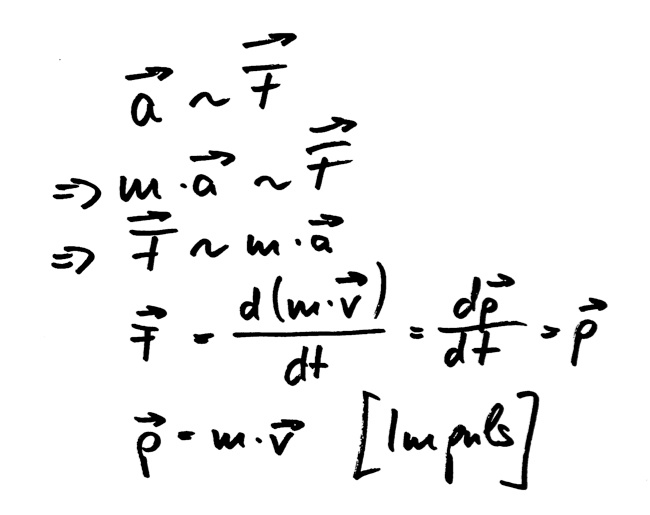
Aus dem Flyer eines Schülerwettbewerbs:

nbg

Comcis (xkcd)

The Drake Equation

drake equation

(CC) by-nc 2.5 http://xkcd.com/384/

The Flake Equation

flake equation

(CC) by-nc 2.5 http://xkcd.com/718/

Titelbild

Titelbild der Zeitschrift fluter

Ausgabe Nr 43. / Sommer 2012

http://www.fluter.de/heftpdf/issue112/artikel10588/pdf_article10588.pdf  [pdf]

 

Motivation: Herunterladen [pdf] [920 KB]