Zur Hauptnavigation springen [Alt]+[0] Zum Seiteninhalt springen [Alt]+[1]

Motivation

Infobox

Diese Seite ist Teil einer Materialiensammlung zum Bildungsplan 2004: Grundlagen der Kompetenzorientierung. Bitte beachten Sie, dass der Bildungsplan fortgeschrieben wurde.

Rechnen in der Physik - Einstieg

Aufgabe:
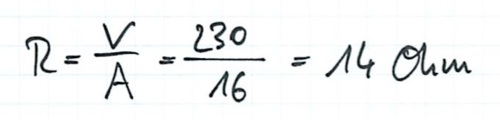
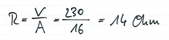
  • Beurteilen Sie, ob die folgenden Rechnungen physikalisch korrekt sind.
  • Korrigieren Sie alle Fehler.
  • Überlegen Sie, warum die Fehler passiert sind und wie man sie vermeiden kann.
A

a

B

b

C

c

D

d

 

Motivation: Herunterladen [pdf] [1,3 MB]