Zur Hauptnavigation springen [Alt]+[0] Zum Seiteninhalt springen [Alt]+[1]

Formeln umformen

Infobox

Diese Seite ist Teil einer Materialiensammlung zum Bildungsplan 2004: Grundlagen der Kompetenzorientierung. Bitte beachten Sie, dass der Bildungsplan fortgeschrieben wurde.

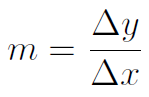
Physikalische Formeln lassen sich genauso umformen und vereinfachen wie mathematische Terme auch; in physikalischen Formeln sind jedoch die Buchstaben vielfältiger. Statt

1

lautet eine analoge physikalische Formel

2

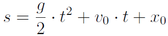
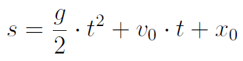
Und statt

3

steht im Physikbuch

4

Wenn man eine Formel nach einer Größe auflösen muss, geht man genau so vor wie in Mathematik:

5

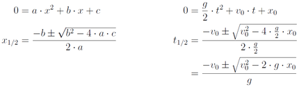
Ebenso kann man z. B. die Mitternachtsformel aus der Mathematik benutzen, um die Formel

6

für s = 0 nach t aufzulösen:

7

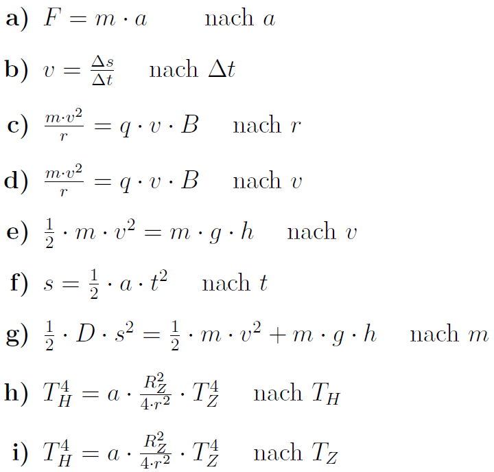
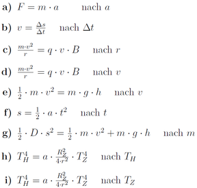
Aufgabe 7:

Lösen Sie die folgenden Formeln nach der angegebenen Größe auf.

Aufgaben

 

Weiter mit Formeln berechnen