Zur Hauptnavigation springen [Alt]+[0] Zum Seiteninhalt springen [Alt]+[1]

Formeln berechnen

Infobox

Diese Seite ist Teil einer Materialiensammlung zum Bildungsplan 2004: Grundlagen der Kompetenzorientierung. Bitte beachten Sie, dass der Bildungsplan fortgeschrieben wurde.

Mit Hilfe der wissenschaftlichen Schreibweise und der SI-Einheiten lassen sich physikalische Formeln systematisch berechnen:

  • gegebene Größen in wissenschaftlicher Schreibweise und mit SI-Einheiten schreiben;
  • Formel aufschreiben;
  • Formel nach der gesuchten Größe umformen und vereinfachen;
  • gegebene Größen einsetzen;
  • gesuchte Größe ausrechnen.
Übertragen wir diese Vorgehensweise auf folgende Aufgabe: Wie lange braucht Schall (Geschwindigkeit in Luft: 1 224 km/h ) für eine Strecke von 10 cm?
  • gegebene Größen in wissenschaftlicher Schreibweise und mit SI-Einheiten schreiben:

    1

  • Formel aufschreiben:

    2

  • Formel nach der gesuchten Größe umformen und vereinfachen:

    3

  • gegebene Größen einsetzen:

    4

  • gesuchte Größe ausrechnen:

    5

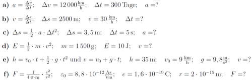
Aufgabe 8:

Berechnen Sie die folgenden Formeln.

Aufgaben

 

Weiter mit Eine Muster-Rechenaufgabe